Zhao, R. ; Sabatini, R. P. ; Zhu, T. ; Wang, S. ; Najjarian, A. Morteza; Johnston, A. ; Lough, A. J. ; Hoogland, S. ; Sargent, E. H. ; Seferos, D. S. Rigid Conjugated Diamine Templates For Stable Dion-Jacobson-Type Two-Dimensional Perovskites. J. Am. Chem. Soc. 2021.

Cheng, S. ; Zhao, R. ; Seferos, D. S. Precision Synthesis Of Conjugated Polymers Using The Kumada Methodology. Acc. Chem. Res. 2021.

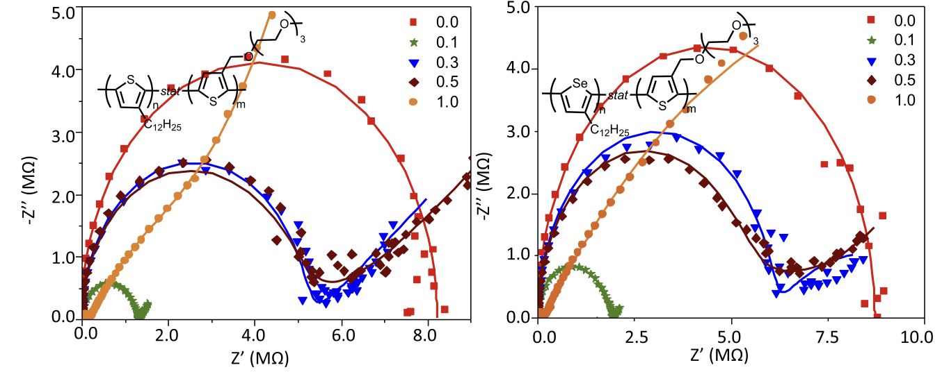
Sachinthani, K. A. Niradha; Panchuk, J. R. ; Wang, Y. ; Zhu, T. ; Sargent, E. H. ; Seferos, D. S. Thiophene- And Selenophene-Based Conjugated Polymeric Mixed Ionic/ Electronic Conductors. J. Chem. Phys. 2021.

Foyle, L. D. P. ; Hicks, G. E. J. ; Pollit, A. A. ; Seferos, D. S. Polyacetylene Revisited: A Computational Study Of The Molecular Engineering Of N-Type Polyacetylene. J. Phys. Chem. Lett. 2021.

Gao, Y. ; Sachinthani, K. A. N. ; Zheng, C. ; Jarrett-Wilkins, C. ; Johnston, A. ; Sun, M. - J. ; Najarian, A. M. ; Wang, Y. - K. ; Saidaminov, M. I. ; de Arquer, F. P. G. ; Seferos, D. S. ; Hoogland, S. ; Sargent, E. H. Self-Aligned Non-Centrosymmetric Conjugated Molecules Enable Electro-Optic Perovskites. Adv. Opt. Mater. 2021.

Pakharenko, V.; Mukherjee, S.; Dias, O. A. T.; Wu, C.; Manion, J.; Singh, C. V.; Seferos, D. S.; Tjong, J.; Oksman, K.; Sain, M. Thermoconformational Behavior of Cellulose Nanofiber Films as Device Substrate and Their Superior Flexibility and Durability to Glass. ACS Appl. Mater. Interfaces 2021.

McAllister, B. T. ; Grignon, E. ; Schon, T. B. ; An, S. ; Yim, C. ; Abu-Lebdeh, Y. ; Seferos, D. S. High-Rate Activation Of Organic Superlithiation Anodes. ACS Appl. Energy Mater. 2021.

Gordon, M. P. ; Gregory, S. A. ; Wooding, J. P. ; Ye, S. ; Su, G. M. ; Seferos, D. S. ; Losego, M. D. ; Urban, J. J. ; Yee, S. K. ; Menon, A. K. Microstructure And Heteroatom Dictate The Doping Mechanism And Thermoelectric Properties Of Poly(Alkyl-Chalcogenophenes). Appl. Phys. Lett. 2021.

Hicks, G. E. J. ; Li, S. ; Obhi, N. K. ; Jarrett-Wilkins, C. N. ; Seferos, D. S. Programmable Assembly Of Π-Conjugated Polymers. Adv. Mater. 2021.

Li, Y. - F. ; Ye, S. ; Shi, Y. - H. ; Lin, J. ; Song, Y. - H. ; Su, Y. ; Wu, X. - L. ; Zhang, J. - P. ; Xie, H. - M. ; Su, Z. - M. ; Sun, H. - Z. ; Seferos, D. S. Robust Electrodes For Flexible Energy Storage Devices Based On Bimetallic Encapsulated Core-Multishell Structures. Adv. Sci. 2021.

Topolskaia, V. ; Pollit, A. ; Cheng, S. ; Seferos, D. S. Trends In Conjugated Chalcogenophenes: A Theoretical Study. Chem. Eur. J. 2021.

Cheng, S. ; Ye, S. ; Apte, C. N. ; Yudin, A. K. ; Seferos, D. S. Improving The Kumada Catalyst Transfer Polymerization With Water-Scavenging Grignard Reagents. ACS Macro Lett. 2021.

Pahlavanlu, P. ; An, S. Young; Panchuk, J. R. ; Pollit, A. A. ; Seferos, D. S. Anion-Radical Polymerization Of Sulfur- And Selenium-Substituted N-Type Conjugated Polymers. Macromolecules 2021.

Hoover, G. C. ; Dicks, A. P. ; Seferos, D. S. Upper-Year Materials Chemistry Computational Modeling Module For Organic Display Technologies. J. Chem. Ed. 2021.

Pahlavanlu, P. ; Cheng, S. ; Battaglia, A. M. ; Hicks, G. E. J. ; Jarrett-Wilkins, C. N. ; Evariste, S. ; Seferos, D. S. Templated Approach To Well-Defined, Oxidatively Coupled Conjugated Polymers (Hot Paper). Polym. Chem. 2021.

Miltenburg, M. B. ; An, S. Young; Obhi, N. K. ; Grignon, E. ; McAllister, B. T. ; Seferos, D. S. Ambipolar Poly(3,4-Ethylenedioxythiophene)-Pendant Tetrachlorinated Perylene Diimide For Symmetric Supercapacitors. ACS Appl. Polym. Mater. 2020.

Pollit, A. A. ; Lough, A. J. ; Seferos, D. S. Examining The Spin State And Redox Chemistry Of Ni(Diimine) Catalysts During The Synthesis Of Π‐Conjugated Polymers. Macromol. Chem. Phys. 2020.

Li, S. ; He, K. ; Prince, E. ; Li, Y. ; Seferos, D. S. Selenophene And Thiophene-Based Conjugated Polymer Gels. ACS Mater. Lett. 2020.

An, S. Young; Schon, T. B. ; McAllister, B. T. ; Seferos, D. S. Design Strategies For Organic Carbonyl Materials For Energy Storage: Small Molecules, Oligomers, Polymers And Supramolecular Structures. EcoMat 2020.

Obhi, N. K. ; Jarrett-Wilkins, C. N. ; Hicks, G. E. J. ; Seferos, D. S. Self-Assembly Of Poly(3-Hexylthiophene) Bottlebrush Polymers Into End-On-End Linear Fiber Morphologies. Macromolecules 2020.

Lebedev, Y.; Apte, C.; Cheng, S.; Lavigne, C.; Lough, A.; Aspuru-Guzik, A.; Seferos, D. S.; Yudin, A. K. Boramidine: A Versatile Structural Motif for the Design of Fluorescent Heterocycles. J. Am. Chem. Soc. 2020.

Ye, S. ; Cheng, S. ; Pollit, A. A. ; Forbes, M. W. ; Seferos, D. S. Isolation Of Living Conjugated Polymer Chains. J. Am. Chem. Soc. 2020.

Manion, J. G. ; Proppe, A. H. ; Hicks, G. E. J. ; Sargent, E. H. ; Seferos, D. S. High Throughput Screening Of Antisolvents For The Deposition Of High Quality Perovskite Thin Films. ACS Appl. Mater. Interfaces 2020.

Jarrett-Wilkins, C. N. ; Pollit, A. A. ; Seferos, D. S. Polymerization Catalysts Take A Walk On The Wild Side. Trends in Chemistry 2020.

Hicks, G. E. J. ; Jarrett-Wilkins, C. N. ; Panchuk, J. R. ; Manion, J. G. ; Seferos, D. S. Oxidation Promoted Self-Assembly Of Π-Conjugated Polymers. Chem. Sci. 2020.

Drummond, B. H. ; Hoover, G. C. ; Gillett, A. J. ; Aizawa, N. ; Myers, W. K. ; McAllister, B. T. ; Jones, S. T. E. ; Pu, Y. - J. ; Credgington, D. ; Seferos, D. S. Selenium Substitution Enhances Reverse Intersystem Crossing In A Delayed Fluorescence Emitter. J. Phys. Chem. C 2020.

An, S. Young; Schon, T. B. ; Seferos, D. S. Stable, Dual Redox Unit Organic Electrodes. ACS Omega 2020.

Pollit, A. A. ; Ye, S. ; Seferos, D. S. Elucidating The Role Of Catalyst Steric And Electronic Effects In Controlling The Synthesis Of Π-Conjugated Polymers. Macromolecules 2020.
